Ex+e X2
I want to understand something about the derivation of $\text{Var}(X) = EX^2 (EX)^2$ Variance is defined as the expected squared difference between a random variable and the mean (expected value) $\text{Var}(X) = E(X \mu)^2$ Then $\operatorname{Var}(X) = E(X \mu)^2$ $\operatorname{Var}(X) = E(X EX)^2$.
Ex+e x2. 5 nghiệm thực phân biệt Hỏi phương trình ex ex = 2 cosax 4 có. 4/12/09so integral of e^(x^2) dx = (e^u)*1/(2*sqrt(u))du after that i do integration by parts both ways but eventually end up with (e^u)*1/(2*sqrt(u))du = (e^u)*1/(2*sqrt(u))du sorry but i am hopeless with latex help appreciated Can do it as you would any other Can check this by differentiating the RHS. A 5 B 6 C 10 D 11.
5 nghiệm thực phân biệt Hỏi phương trình exex=2cosax4 có. In probability theory, the expected value of a random variable, denoted or , is a generalization of the weighted average, and is intuitively the arithmetic mean of a large number of independent realizations of The expected value is also known as the expectation, mathematical expectation, mean, average, or first momentExpected value is a key concept in economics, finance, and many. The functions, sinh(x) = ex ex / 2, cosh(x) = ex ex / 2, tanh = ex ex / ex ex = 1 2 / e2x 1, are called the hyperbolic sine, hyperbolic cosine, and hyperbolic tangent, respectively Graph the functions sinh, cosh, tanh by hand (That is, find the domain and range, any critical points and inflection points of each of the functions.
Professionals For math, science, nutrition, history. We know that x 2 ≤ x for x ∈ 0, 1, so e x 2 ≤ e x, next x ≤ x (because x (x − 1) ≤ 0 for x ∈ 0, 1 so x e x 2 ≤ x e x and finally ∫ 0 1 x e x 2 d x ≤ ∫ 0 1 x e x d x. 9/3/16Make use of the #color(blue)law of logarithms# #color(red)(bar(ul(color(white)(a/a)color(black)(logx^n=nlogx)color(white)(a/a))))# Using.
The Gaussian integral, also known as the Euler–Poisson integral, is the integral of the Gaussian function = − over the entire real line Named after the German mathematician Carl Friedrich Gauss, the integral is ∫ − ∞ ∞ − = Abraham de Moivre originally discovered this type of integral in 1733, while Gauss published the precise integral in 1809. 9/28/107 years ago to find the solution for the equation we have to see the problem as easy as possible e^x e^ (x) = 2 this is the questionthen what we have to do is to change e^ (X) to 1/e^ (x) and add it with e^ (x) as follow e^x 1/e^x = 2 { (e^x * e^x) 1}/e^ (x) = 2 taking cross product. Click here👆to get an answer to your question ️ Differentiate wrt x e^x e^x^2 e^x^5.
The expected value (or mean) of X, where X is a discrete random variable, is a weighted average of the possible values that X can take, each value being weighted according to the probability of that event occurring The expected value of X is usually written as E(X) or m E(X) = S x P(X = x) So the expected value is the sum of (each of the possible outcomes) ×. 1 ey ex ey • For r = m ∈ N, emx = e z }m { xx = z }m { ex ex = (ex)m • For r = 1 n, n ∈ N and n 6= 0, ex = e n n x = e 1 nx n ⇒ e n x = (ex) 1 • For r rational, let r = m n, m, n ∈ N. Ex √ 2 4 y = 2 2 x The best way to check our work here might be to choose some simple values for x and evaluate both sides of the original equation using a calculator ex −e x 4 = y ex − e−x We start by applying the hint, letting u = ex ex e−x.
Example 2 f(x) = e x 2 Let's consider now another composite function To calculate its derivative we apply again the chain rule As the outer function is the exponential, its derivative equals itself Example 3 f(x) = e x (1x 2) Now, this one looks more complicated. Free math problem solver answers your algebra, geometry, trigonometry, calculus, and statistics homework questions with stepbystep explanations, just like a math tutor. Integral of e^x^2 using the Imaginary Error Function!The real version https//youtube/jkytxdedxhUblackpenredpen, math for fun.
1/9/09answer (e^x e^x)/2 1) 6x/(3x^24) 23) you should put parenthesis so that it is clear if the logarithm is raised to some power or if its argument is. ExpectationThe expectation is the expected value of X, written as E(X) or sometimes as μThe expectation is what you would expect to get if you were to carry out the experiment a large number of times and calculate the 'mean'To calculate the expectation we can use the following formulaE(X) = ∑ xP(X = x)It may look complicated, but in fact is quite easy to useYou multiply each value of x. 12/23/19Misc 41 ∫ 𝑑𝑥/ (𝑒^𝑥 𝑒^ (−𝑥) ) is equal to (A) tan^ (−1) (𝑒^𝑥 )𝐶 (B) tan^ (−1)〖 (𝑒^ (−𝑥) )𝐶〗 (C) log (𝑒^𝑥−𝑒^ (−𝑥) )𝐶 (D) log (𝑒^𝑥𝑒^ (−𝑥) )𝐶 ∫ 𝑑𝑥/ (𝑒^𝑥 𝑒^ (−𝑥) ) = ∫ 𝑑𝑥/ (𝑒^𝑥 1/𝑒^𝑥 ) = ∫1 (𝑒^𝑥 𝑑𝑥)/ (𝑒^2𝑥 1) Let 𝑒^𝑥=𝑡 𝑑𝑡/𝑑𝑥=𝑒^𝑥 dt = 𝑒^𝑥 𝑑𝑥 Substituting, = ∫1 𝑑𝑡/ (𝑡^2 1) =.
9/25/18Transcript Misc 13 Integrate the function ^ / ( (1 ^ ) (2 ^ ) ) 1 ^ / ( (1 ^ ) (2 ^ ) ) Let t = ^ / = ^ dt = ^ Substituting 1 ^ / ( (1 ^ ) (2 ^ ) ) = 1 / ( (1 ) (2 )) We can write, 1/ ( (1 ) (2 ))=A/ (1 )B/ (2 ) 1/ ( ( 1) ( 2))= (A (t 2) B (t 1))/ ( ( 1) ( 2)) Cancelling denominators 1 = (t 2)A (t 1)B. Next About this document THE INTEGRATION OF EXPONENTIAL FUNCTIONS The following problems involve the integration of exponential functions We will assume knowledge of the following wellknown differentiation formulas. Get an answer for '((e^x)(e^x))/2=1' and find homework help for other Math questions at eNotes We’ve discounted annual subscriptions by 50% for COVID19 relief—Join Now!.
Knowledgebase, relied on by millions of students &. (the probability of the. 実際やってみると e^xのマクローリン展開って意外に簡単なんですよ! 「e^x のマクローリン展開」というのは、なんのこっちゃと思うかもしれませんが、ただ単に、 f(x)=e^x の場合でのマクローリン展開のことを指しているだけなんです。 公式も結構キレイな形なんですよね~・・・ちなみに.
Bao nhiêu nghiệm thực phân biệt A 5 B 6 C 10 D 11. 11/6/19Get Free NCERT Solutions for Class 10 Maths Chapter 2 Ex 22 PDF Polynomials Class 10 Maths Ex 22 NCERT Solutions are extremely helpful while doing your homework or while preparing for the exam Exercise 22 Class 10 Maths Polynomials NCERT Solutions were prepared according to CBSE marking scheme and guidelines. Bao nhiêu nghiệm thực phân biệt?.
Proof lnexy = xy = lnex lney = ln(ex ey) Since lnx is onetoone, then exy = ex ey 1 = e0 = ex(−x) = ex e−x ⇒ e−x = 1 ex ex−y = ex(−y) = ex e−y = ex . Click here👆to get an answer to your question ️ int xe^x(1 x)^2 dx is equal to. 12/21/09Because e − x 2 is used so much in statistics, the error function, erf (x), is defined as an antiderivative of e − x 2 but I don't believe anyone has ever bothered to give a name to the antiderivative of e x 2 That conventional method you talk about, only works when the derivative of the power is a constant.
优质解答 E (XEX)^2=E (X^22XEX (EX)^2)=E (X^2)E (2XEX)E (EX)^2)=E (X^2)2 (EX)^2 (EX)^2)=EX^2 (EX)^2. Cho tham số thực a Biết phương trình ex ex = 2 cosax có. 3/6/17How to differentiate the natural exponential function using chain rule d/dx of e^(x^2).
优质解答 y= e^xe^ (x)/2 2y = e^x e^ (x) 2y e^x = (e^x)^2 1 (e^x)^2 2y e^x 1 = 0 e^x = 2y ±√ (4y^2 4)/2 = y ±√ (y^2 1) 其中 y √ (y^2 1) = 1/ y √ (y^2 1). But then E(XjY =y)=åx xfXjY(xjy)=åx xfX(x)=E(X) 2 2 EE(g(X)jY)=E(g(X)) Proof Set Z = g(X) Statement (i) of Theorem 1 applies to any two rv’s Hence, applying it to Z and Y we obtain EE(ZjY)= E(Z) which is the same as EE(g(X)jY)= E(g(X)) 2 This property may seem to be more general statement than (i) in Theorem 1 The proof above. 10/23/19For several values of x, use MATLAB to confirm that sinh x = (ex − e−x)/2 Follow 23 views (last 30 days) Show older comments Ahamed Nasiry on 23 Oct 19 Vote 0 ⋮ Vote 0 Commented Emma Athow on 13 Apr For several values of x, use MATLAB to confirm that sinh x = (ex ex)/2.
Professionals For math, science, nutrition, history. Free derivative calculator differentiate functions with all the steps Type in any function derivative to get the solution, steps and graph. Compute answers using Wolfram's breakthrough technology &.
Cho tham số thực a Biết phương trình exex=2cosax có. 9/28/Because e^x^2 is a function which is a combination of e x and x 2, it means we can perform the differentiation of e to the x 2 by making use of the chain rule Using the chain rule to find the derivative of e^x^2 Although the function e x 2 contains no parenthesis, we can still view it as a composite function (a function of a function). E^e^x = 2 (e to the e to the x) Answer by jim_thompson5910() (Show Source) You can put this solution on YOUR website!.
Formulae coshx= ex e−x 2, sinhx= ex −e−x 2, tanhx= e x− − e xe− cosh2x−sinh2x=1, cosh(−x)=coshx, sinh(−x)=−sinhx cosh(2x)=cosh2xsinh2x, sinh(2x)=2sinhxcoshx, tanh(2x)= 2tanhx 1tanh2x cosh2x= cosh2x1 2, sinh2x= cosh2x−1 2, 1−tanh2x=sech2x= 1 cosh2x dcoshx dx =sinhx, dsinhx dx =coshx, dtanhx. 11/15/12y = e^(x^2) Follow 1,581 views (last 30 days) Show older comments fahad on 15 Nov 12 Vote 0 ⋮ Vote 0 Commented Steven Lord on 24 Nov Accepted Answer Azzi Abdelmalek I want to plot the above equation in matlab but i dont know how to plot please help or provide me code. Compute answers using Wolfram's breakthrough technology &.
First, let’s denote $$ I = ∫_{∞}^∞ e^{x^2}\,dx\, $$ Obviously, changing the letter denoting the variable will not change the value of the integral (we are still integrating the same function), so $$ I = ∫_{∞}^∞ e^{y^2}\,dy\, $$ Multiplying both equations leads to $$ I^2 = ∫_{∞}^∞ e^{x^2}\,dx ∫_{∞}^∞ e^{y^2}\,dy\, $$ Now, $∫_{∞}^∞ e^{x^2}\,dx$ is just a number (a constant), so we. E(X^2) 是 X^2 的期望 比如,P{X=1} = 2/3, P{X=0} = 1/6, P{X=1} = 1/6 EX = 1 * 2/3 0 * 1/6.

Street Fighter Ex 2 Plus Amazon Es Videojuegos

Integration 2 X3 Ex Square Dx Explain In Great Detail And Give Full Solution Mathematics Topperlearning Com Xanr9ntt

11 Kia Sorento Ex 2 10 Dc Fotografia De Stock Alamy
Ex+e X2 のギャラリー

Ex 7 9 15 Direct Integrate X Ex 2 Dx From 0 To 1 Teachoo

Ex 7 9 15 Direct Integrate X Ex 2 Dx From 0 To 1 Teachoo

Street Fighter Ex 2 Plus

Ocasion Kia Sorento Suv 4x4 Pickup En Manlleu Por 5 500

Invitrogen E Gel Ex Agarose Gels 2 10 Geles Invitrogen E Gel Ex Agarose Gels 2 Fisher Scientific

Re Zero Ex Vol 2 Light Novel The Love Song Of The Sword Devil Rezero Ex Vol 1 Amazon Es Nagatsuki Tappei Otsuka Shinichirou Libros En Idiomas Extranjeros

Nuevo Nord Stage 2 Ex Adagio Distribucion
Ex Formula

Casco Enduro Ex 2 Can Am 94 Montemar Motor

If F X E X E X 2 Then Inverse Of F X Is

Bodytone Ex 2 Bicicleta Ciclo Indoor Profesional En Oferta

Ejercicio N 2 De La Opcion B De Junio De 05

Analisis De Street Fighter Ex 2 Plus Para Psone Uvejuegos Com

Ncert Solutions For Class 9 Maths Chapter 2 Polynomials Ex 2 4

Chrome Urban Ex 2 0 Rolltop l Negro Dressinn

Ejercicio N 2 De La Opcion A Del Modelo 3 De 07

Kameleoiak Gara Cine En Familia Kameleoiak Gara Zin Ex 2 Tabakalera Donostia San Sebastian
Gaussian Integral Wikipedia

Street Fighter Ex2 Street Fighter Legacy Street Fighter Street Fighter Ex

Arcade Artwork Street Fighter Ex2 Marquee Restored By Mikonos

Pokemon M Mega Venusaur Ex 2 108 Xy Evolutions Holo Amazon Es Juguetes Y Juegos

Bodytone Ex 2 Bicicleta Ciclo Indoor Profesional En Oferta

Shimano Catana Ex 2 Tlg Spinnrute

Guardabarros Delantero Para Honda Coche Accord 2 4 Ex 2 Puertas 5 Velocidades Automatica 08 Honda Automoviles Catalogo De Recambios Originales

Movimientos Sharon Serie Street Fighter Ex

What Is The Antiderivative Of E X 2 Mathematics Stack Exchange

Bodytone Ex 2 Bicicleta Ciclo Indoor Profesional En Oferta

La Funcion Inversa De 2 Ex Es Brainly Lat

Bodytone Ex2 Bicicleta Estatica Profesional Ciclo Indoor Pccomponentes Com

Comprar Online Revelador Carestream X Omat Ex Ii 2 Usos X Lit

Acotol Ex 2 0 03 Mg Tableta Recubierta Caja X 21 Los Expertos En Ahorro Cruz Verde Colombia

Emisora Kopropo Ex 2 Select Pack 1 Con Kr 241 Fh Receptor

7 Raphael Yo Soy Aquel Hasta Venecia 2 H 11 099 Ep Portugal Ex Ex Ebay

Naruto Clash Of Ninja Ex 2 Videojuego Wii Vandal

Mil Anuncios Com Cfmoto Zforce 550 Ex 2 Plazas Ve

Bodytone Ex 2 Bicicleta Ciclo Indoor Profesional En Oferta

Bodytone Ex 2 Bicicleta Ciclo Indoor Profesional En Oferta

Carta Pokemon Mega Venusaur Ex 2 146 De Segunda Mano Por 10 En Vilanova I La Geltru En Wallapop
Solved Integral E X 2 Dx Chegg Com

Movimientos Sagat Serie Street Fighter Ex

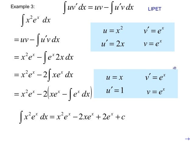
Ex 7 6 3 Integrate X 2 E X Chapter 7 Class 12 Ncert

How To Integrate X 3 E X 2 Using Integration By Parts Youtube

Integral Of E X 2 Fasrwhy

Street Fighter Ex 2 Plus Playstation Psone Ebay

11 Razones Por Las Que Una Mujer Deja A Un Hombre Vix

Trucos King Of Fighters Ex 2 Game Boy Advance Claves Guias

Movimientos Garuda Serie Street Fighter Ex

Method 2 Integral Of X E X 2 Substitution Youtube

Mil Anuncios Com Cfmoto Zforce 800 Ex 2 Plazas Ve

Carta Pokemon Mega M Venusaur Ex 2 108 Xy Evoluzioni Ex Full Art Gx In Italiano Ebay

Asi Era Street Fighter Ex 2 Plus El Clasico Olvidado De La Saga Hobbyconsolas Juegos
Jeti Duplex Ex Rsat 2 Satellite Receiver 16 Ch Ppm Sum Signal Jdex Rs2

Future Forms Ex 2 Worksheet

Campingaz Plancha De Gas Ex 2 Quemadores De Acero 7 5 Kw De Potencia Carrito Y 2 Mesas Plegables Plancha Grande Antiadherente Amazon Es Jardin

Street Fighter Ex 2 Plus

Extractor Cmos

1905 One Cent Ex 2 Monedas Monedas Del Mundo 1790

Comprar Sevebrau Ex 2 Ipa Espuma Cultura Cervecera

Street Fighter Ex 2 Plus

Integral 2

Integral De Gauss Wikipedia La Enciclopedia Libre
Gaussian Integral Wikipedia

Technics Sb Ex2 Set De Altavoces Catawiki

Innisfree Olive Real Skin Care Ex 2 Set Tienda De Productos Coreanos Y Kpop Autenticos

Dvu Dvu U X2 Du 2x Dx Dv Ex Dx V E U X Du Dx Dv

Fighting Zone Street Fighter Ex 2 Plus

Ainte Matematicas 1 Bachillerato Derivada Ex E X 2 Youtube

Ex 7 6 3 Integrate X 2 E X Chapter 7 Class 12 Ncert

Deducir La Serie De E X 2 A Partir De La Serie De E X Youtube

Yokomo Yd 2 Ex Ii Rwd Drift Car Kit Hrcspain

Apuntes De Procesos Estocasticos Pagina 2 Monografias Com

Prueba Oscar
Formula Ex2

Bodytone Ex 2 Bicicleta Ciclo Indoor Profesional En Oferta
Gaussian Integral Wikipedia

Solved Use The Taylor Series For E X 2 To Evaluate The I Chegg Com

Battery Cable And Ex 2 Stormrider Stormshield Spaciobiker

Formula Ex2

How To Solve This Question Integral E X X 2 1 X 1 2 Quora

Apuntes De Procesos Estocasticos Pagina 2 Monografias Com

Fighting Zone Street Fighter Ex 2 Plus

Prueba Oscar

Ex 2

Ex 7 3 24 Integration Ex 1 X Cos2 Ex X Dx Equals

Trincha Plano Ex 2 5 X18mm 63mm Beast Con Ofertas En Carrefour Las Mejores Ofertas De Carrefour

Apuntes De Procesos Estocasticos Pagina 2 Monografias Com

Innisfree Olive Real Skin Care Ex 2 Set Tienda De Productos Coreanos Y Kpop Autenticos

Prueba Oscar

Integration Ex 2 X 1 X 2 Dx Explain In Great Detail Mathematics Topperlearning Com 4j7olss

Analisis De The King Of Fighters Ex 2 Howling Blood Para Gba Pag 3 Uvejuegos Com

Bodytone Ex 2 Bicicleta Ciclo Indoor Profesional En Oferta

Kingduo Ko Propo Unidad De Direccion Stick Tipo Para Kiy Masterunit Ex 1 Ex 2 Ex 6 Ex Rr Rc Piezas De Coche Amazon Es Hogar

Ethernet Extender Opticis Ex 1 Ex 2 Percon

Kia Sportage Ex 2 0l minutos Es

Let F R R Defined By F X E X 2 E X 2 E X 2 E X

The Derivative Of E X 2 Derivativeit